Opgave samling

Opgaveforside

Opgaver, Lektion 2, link løsninger

1	Betragt kvægets Zz blodtypesystem med de tre blodtyper Z, Zz og z. 
	I nedenstående tabel er angivet blodtypefordelingen i tre stikprøver 
	fra racerne RDM, SDM og Jersey. 
	Hvordan forventes blodtypefordelingen at blive i den følgende generation 
	efter tilfældig parring inden for racerne?

		Race	Blodtypefordeling (antal)
			Z  	  Zz	z
		RDM    	28      340    1.032
		SDM     2        55     318
		Jersey	56      129      75

2	Betragt en stor tilfældigt sammenparret population. På et locus med 
	to alleler A og a, hvor A dominerer over a, er frekvensen af homozy-
	gotisk recessive individer (aa) 1%.

	a)	Hvad er frekvensen af heterozygotiske individer (Aa)?

	b)	Hvilken del udgør disse (Aa) af individer med den dominante 
		fænotype?

3	I en population med tilfældig parring forekommer et recessivt 
	sygdomsgen (a) med frekvensen 0,005.

	a)	Angiv sandsynligheden for i populationen at finde raske 
		forældre (A-) med afficeret afkom (aa).

	b)	Angiv sandsynligheden for i populationen at finde forældre, 
		hvoraf mindst én er syg (aa) med afficeret afkom (aa).

	c)	Angiv det talmæssige forhold mellem de under punkt a) og punkt 
		b) fundne sandsynligheder og kommentér det fundne resultat.

4	Hos gravhunde findes et par allele gener R og r, der er bestemmende for 
	hårtypen med R dominerende over r. Fænotyperne er henholdsvis ruhåret 
	(R-) og korthåret (rr).

	a)	Blandt 100 gravhunde i H.W.-ligevægt er påvist 64 ruhårede og 
		36 korthårede. Hvor mange gravhunde må antages at være bærere 
		af et skjult anlæg for korthårethed i denne population?

	b)	I en anden bestand af gravhunde er det klarlagt, at forholdet 
		mellem genotyperne RR og Rr er som 2:5.
		Hvor stor er sandsynligheden for, at den første hvalp bliver 
		korthåret efter sammenparring af to tilfældigt valgte ruhårede
		hunde?

5	I en population fandt man, at én af 10.000 mænd led af hæmophili, mens 
	der ikke fandtes angrebne kvinder. (Hæmophili er en kønsbunden recessiv 
	egenskab).

	a)	Hvad er frekvensen af genet for hæmophili (h) blandt mænd?

	b)	Hvad er sandsynligheden for, at der fødes kvinder med hæmophili, 
		når det antages, at genfrekvensen er den samme hos mænd og 
		kvinder?

6	Et forældrepar, hvor moderen har blodtype B og faderen blodtype A, 
	har et barn med blodtype 0. Hvilken blodtyper kan deres eventuelle 
	fremtidige børn få?

7	Fra en russisk rævepopulation blev indfanget 14.345 ræve. Af disse 
	var 12 sorte, 678 intermediære og 13.655 røde.

	a)	Beregn frekvensen af genet for henholdsvis rød og sort farve.

	b)	Undersøg ved en Chi-i-anden test, om de observerede antal 
		stemmer overens med de forventede under H-W ligevægt.

8	I det følgende forudsættes, at der i den danske Schæferhundepopulation 
	er tilfældig parring. Mikrosatellit locus A er autosomalt og har 3 
	alleler A1, A2 og A3 med frekvenserne henholdsvis 0,1, 0,3 og 0,6. 
	Mikrosatellit locus B er ligeledes autosomalt. Dette locus har 3 alleler 
	B1, B2 og B3 med frekvenserne henholdsvis 0,2, 0,3 og 0,5.

	a)	Angiv de forventede genotyper og de forventede genotypefrekvenser 
		i populationen for hvert locus.

	b)	Angiv den forventede frekvens af genotypen A1A2B1B2 og af 
		genotypen A3A3B3B3 i populationen.

	En hanhund med genotypen A1A2B1B2 parres med et antal tæver 
	med genotypen A3A3B3B3.

	c)	Angiv de forventede genotyper blandt afkom efter nævnte 
		parringer og angiv den forventede fordeling (udspaltning) af 
		disse genotyper blandt afkommet under antagelse af, at de to 
		loci ikke er genetisk koblede.

	d) 	Angiv de forventede genotyper blandt afkom efter nævnte 
		parringer og angiv den forventede procentvise fordeling af disse 
		genotyper blandt afkommet under antagelse af, at de to loci er 
		koblede med en overkrydsningsfrekvens på 0,20, og at hanhunden 
		bærer generne A1 og B1 på samme kromosom, dvs. A1 og B1 
		er i koblingsfase.

9	På grisens kromosom 6 er der to tæt-koblede sygdomsgener. Det ene gen, 
	Calcium Release Channel (CRC), er ansvarligt for den recessive 
	lidelse Porcine Stress Syndrome (Stressfølsomhed). Grise med genotypen 
	n/n er stressfølsomme,  mens grise med genotyperne N/n og N/N er normale. 
	Det andet gen, 1,2 alfafucosyltransferase 1 (FUT1), er ansvarligt for, 
	om grisene bliver modtagelige for ødemsyge. Modtagelighed for ødemsyge 
	nedarves dominant, således at grise med 	genotyperne E/E og E/e er 
	modtagelige, mens grise med genotypen e/e er modstandsdygtige 
	overfor ødemsyge.
	
	a)	Hos en sjælden griserace er CRC allelen N og FUT1 allelen E altid 
		i koblingsfase.
 		Frekvensen af N allelen er 0,4, og frekvensen af E allelen er 0,3. 
		Angiv haplotyperne samt deres frekvenser.
	
	b)	En avler af den sjældne race fjerner alle stressfølsomme grise (nn) 
		i en generation. 
		Hvilken betydning vil dette have for grisenes modtagelighed over for 
		ødemsyge? 
		Beregn haplotypefrekvenserne efter selektion.
	
		
	c)	Den genetiske afstand mellem CRC og FUT1 er 5 map units. Der findes 
		DNA tests, så både CRC og FUT1 genotyperne kan fastlægges. Hvorledes 
		kan disse DNA tests bruges til generelt at fremavle grise, som er både 
		stressfrie og modstandsdygtige overfor ødemsyge?

10	To loci A og B er genetisk koblede med en rekombinationsfrekvens på
	0,3. I en population med tilfældig sammenparring findes følgende gamet-
	frekvenser. 

			Gamet		AB	Ab	aB	ab
			___________________________________________ 

			Frekvens	0,4	0,1	0,2	0,3


	a)	Beregn koblingsuligevægten D. 
		
	b)	Beregn D i de følgende 10 generationer. 
		
	c)	Beregn gametfrekvensen ved koblingsligevægt, d.v.s. mår D er 0. 

	d)	Beregn hyppigheden af dobbelt heterozygoter i udgangs-
		populationen og ved koblingsligevægt.

Opgaver, Lektion 3, link løsninger

1	I en population blev fundet nedenstående genotypefordeling:

			AA	Aa	aa
			110	225	115

	a)	Er populationen i Hardy-Weinberg ligevægt?

	b)	Der sker herefter en selektion mod aa med selektionskoef-
		ficienten s = 0,1. Beregn genfrekvenserne i næste fem 
		generationer.

2	Inden for SDM findes en uønsket farvemutant, således at individer med 
	genotypen ee er rødbrogede, mens de sortbrogede har genotypen E-. 
	Inden for en tilfældigt parrende bestand af sortbroget kvæg, hvor gen-
	frekvensen for E er p, elimineres rødbroget kvæg fuldstændigt fra 
	hver ny afkomsgeneration.

	a)	Hvor mange generationer vil det tage at halvere frekvensen af
 		rødbrogede kalve, hvis frekvensen af p0 = 0,80?

	b)	Samme spørgsmål som a) med p0 = 0,98.

	c)	Kommenter det talmæssige forhold mellem svarene i b) og c).

3	I et autosomalt, toallelt system med overdominans er der følgende 
	sammenhæng mellem genotyper og fitness:  

			Genotyper	A1A1 	A1A2	A2A2
			Fitness	        0,8	1	0,3

	a)	Beregn genfrekvenserne ved genfrekvensligevægt.

	b)	Beregn herefter genotypefrekvenserne forud for selektion,

	c)	og beregn genotypefrekvenserne efter selektion. 

4	I en population er frekvensen af seglcelleanæmi fundet at være 0,05 
	blandt nyfødte. På grund af resistens mod malaria får heterozygoterne 
	mest afkom, således at de normale individer (Hba/Hba) og de anæmiske 
	individer (Hbs/Hbs) kun bidrager med henholdsvis 80% og 10% afkom i 
	forhold til afkom fra heterozygoter (Hba/Hbs).

	a)	Hvad vil frekvensen af Hbs være, når populationen er i ligevægt?

	b)	Vil antallet af nyfødte med seglcelleanæmi vokse eller falde?

5	I en dansk undersøgelse af 94.000 fødsler fandtes 10 tilfælde af 
	chondrodystrofe dværge (dominant betinget misdannelse). Det antages, 
	at de observerede dværge er heterozygoter.

	a)	Hvad er genfrekvensen af sygdomsgenet?

	b)	Find fertiliteten (som i dette tilfælde er lig med fitness) 
		af dværgene (Cc) relativt til normale (cc), når det fra en anden 
		dansk undersøgelse vides, at 108 voksne dværge havde fået 
		27 børn, mens 457 normale søskende havde fået 582 børn.

	c)	Det antages, at den danske population er i mutation-selektions
		ligevægt med hensyn til denne sygdom. Giv ud fra resultaterne 
		i a) og b) et skøn for mutationsfrekvensen c til  C.

6	En lukket population omfatter i hver generation 20 avlshanner og 20 
	avlshunner. I generation 0 er genfrekvenserne på et givet locus 
	følgende:

	p = 0,6 og q = 0,4

	Generation 1 dannes ved tilfældig parring.
	Angiv mulige udfald af genfrekvenser i generation 1, idet der benyttes 
	sikkerhedsgrænser svarende til en sandsynlighed på p = 5% i en normal
	fordeling.

7	En lukket population er sammensat af fem avlshanner og 50 avlshunner 
	generation efter generation. Man ønsker at sammensætte en anden lukket 
	population bestående af avlshanner og avlshunner i forholdet 1:1.

	a)	Hvor mange individer skal sidstnævnte population omfatte, hvis 
		den effektive populationsstørrelse skal være uændret?

	b)	Hvor stor er ændringen i indavlsgraden pr. generation i de to 
		populationer?

Opgaver, Lektion 4, link løsninger

1	Hvad er indavlskoefficienten for individet X i nedenstående diagram?

2 Beregn indavlskoefficienten for samtlige individer i følgende diagram:
Dyr Far Mor Idet A=1 B=2 C=3 D=4 E=5 0=ukendt 1 0 0 2 1 0 3 1 2 4 3 2 5 3 4 3 På grundlag af nedenstående stamtavle ønskes følgende spørgsmål besvaret: a) Opstil et pilediagram for individet A. b) Beregn indavlsgraden for alle indavlede individer.
4 Betragt følgende to stamtavler.
a) Hvem er fælles ane for Wahl 239 og ko nr. 196? b) Hvor stor bliver indavlskoefficienten på en kalv efter Wahl 239 og ko nr. 196? c) Kan det anbefales at bruge tyren Wahl 239 ved insemination af ko nr. 196? 5 På basis af nedenstående stamtavler for mink ønskes følgende spørgsmål besvaret:
a) Angiv hvilke dyr, der er indavlede. b) Opstil pilediagram og beregn indavlskoefficienten for afkom efter IV A og IV B. 6 I nedenanførte stamtavle er de oprindelige betegnelser for de enkelte individer erstattet med numrene 1 til 11.
Beregn indavlskoefficienten for dyr nr. 10 og 11, og beregn det additive slægtskab mellem dyr nr. 11 og de øvrige dyr i stamtavlen. 7 I nedenanførte genealogiske diagram repræsenterer V 12 (probant) den først erkendte schæfer-dværg i Danmark. Denne dværgvækst nedarves som en autosomal, recessiv egenskab.
a) Angiv de individer, der med sikkerhed må være heterozygotiske anlægsbærere. b) Hvor stor er sandsynligheden for, at en tilfældigt udtaget phenotypisk normal hvalp i et af de to kuld (A eller B) i generation V er heterozygotisk anlægsbærer for dværgvækst? c) Hvor stor er indavlsgraden for 1) en tilfældigt udtaget hvalp i kuld A, og for 2) en tilfældigt udtaget hvalp i kuld B? d) Hvor stor er slægtskabskoefficienten mellem to tilfældigt udtagne hvalpe i kuld A? 8 På en minkfarm er der 100 avlsdyr, af hvilke 60 er ubeslægtede, otte er afkom efter helsøskendeavl, og 32 er afkom efter halvsøskendeavl. Beregn den gennemsnitlige indavlsgrad for de 100 avlsdyr.

Opgaver, Lektion 5, link løsninger

1	Nedenfor er angivet en stamtavle, der viser den autosomale defekt ataksi 
	(aa) hos hunde i et kuld efter normale (A-), men beslægtede forældre
 	III 4 og III 8. Da denne defekt er sjælden, kan det antages, at II 1 
	og II 6 ikke bærer genet a.
a) Giv en liste over de hunde, hvor genotypen kan fastlægges og angiv typen. b) Hvor stor er sandsynligheden for, at det klinisk sunde dyr IV 2 er anlægsbærer? 2 På en klinik for mindre husdyr har man påvist en sjælden enzymdefekt hos en hanhund IV 1. På grundlag af ejerens oplysninger og laboratorie- mæssig undersøgelse af alle nulevende søskende og aner kunne nedenanførte genealogiske diagram konstrueres.
Hvilken monofaktoriel arvegang må anses for at være den mest sandsynlige på enzymdefektens forekomst? Mulighederne skal behandles hver for sig. 3 Hos menneske og kanin er der fundet en anomali, som manifesterer sig blandt andet i leukocyternes form. I nedenstående stamtavle er vist forekomsten af "syge" og normale individer. Giv en udførlig motivering for hvilken arvegang, der er mest sandsynlig, og hvilke der sandsynligvis kan udelukkes (monofaktoriel nedarvning antages).
4 Pelsdyravlere har påvist en ny pelskvalitet hos en han, I 1 og har yderligere opnået de resultater, der er anført i det genealogiske diagram. Udfyldt symbol betegner ny pelskvalitet.
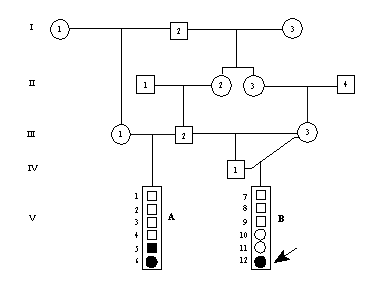
a) Under antagelse af monofaktoriel nedarvning ønskes en redegørelse for den nyopdukkede egenskabs arvegang. b) Beskriv en avlsmetode, der kan anvendes til verificering af arvegangen. 5 Hos hvilket køn vil man forvente, at en recessiv kønsbunden mutant- egenskab viser sig. a) Hos høns? b) Hos kaniner? 6 En tyr, der er importeret fra Canada, er mistænkt for at være anlægsbærer af en uønsket recessiv egenskab, som er meget sjælden inden for den pågældende race her i landet. a) Skitsér en metode til afprøvning af tyren for det pågældende anlæg. b) Beregn det antal individer, der er nødvendige i undersøgelsen for at kunne udtale sig med 95% sikkerhed. c) Giv en klar formulering af det mulige resultat af undersøgelsen. 7 Man ønsker gennem afkomsprøve at fastlægge, om en tyr er anlægsbærer for et bestemt recessivt gen. Dette kan ske ved at parre tyren med a) Køer af den recessive type (aa) b) Køer, som man ved er heterozygote (Aa) c) Egne døtre Hvis alt afkommet er normalt, hvor mange stk. afkom må tyren give i disse tre forskellige tests, for at sandsynligheden for at den ikke er anlægsbærer er 95%? 8 I det genealogiske diagram repræsenterer I 1 og I 2 en tilfældigt udtaget orne og en tilfældigt udtaget so inden for Dansk Landrace midt i 1980erne, hvor frekvensen af det recessive halotangen n var høj, idet der fødtes 4% halotan-følsomme grise (genotype nn). Samtlige grise i diagrammet blev halotantestet i 6-7 ugers alderen. Testen viste, at III 2 og III 4 var halotanfølsomme. I populationerne som helhed var der tilfældig parring.
a) Angiv de individer, der med sikkerhed må være anlægsbærere for halotangenet n, og angiv sandsynligheden for, at henholdsvis III 1, III 3 og III 5 er anlægsbærere. b) Hvad er sandsynligheden for, at I 2 er anlægsbærer, idet resultatet angives på basis af det faktum, at der fødes 4% halotanfølsomme i populationen. c) Idet det antages, at II 2 er anlægsbærer, hvad er da sandsynlig- heden for, at III 6 er genotypisk normal (dvs. genotype Hal NN)? 9 Blandt 120 stk. afkom efter heterozygotiske forældre (parringstype: Aa x Aa) er følgende udspaltningsforhold påvist: Genotype Antal AA 39 Aa 51 aa 30 Undersøg ved hjælp af Chi-i-anden test, om der er statistisk signifikant afvigelse fra den forventede udspaltning. 10 Der foretages en tilbagekrydsning, det vil sige homozygot x heterozygot, for at teste om en karakter nedarves recessivt. Der er i alt 30 tilbage- krydsningsindivider. Undersøg ved hjælp af Chi-i-anden-test for hvilke talforhold hypotesen om recessiv nedarvning kan accepteres (1:1 spaltning), når 5% signifikansgrænsen anvendes. 11 Angiv sandsynligheden for en kønsfordeling på to hanner og fire hunner i et kuld minkhvalpe på seks stk. Kønskvotienten sættes til 50%. 12 Hos kvæg dominerer kullet (uden horn) P- over hornet pp. Hvor stor er sandsynligheden for, at en heterozygotisk ko får én kullet + tre hornede kalve efter inseminering med heterozygotiske tyre? 13 Angiv mulige kombinationer af AA, Aa og aa i familier på tre søskende efter parring mellem heterozygotiske forældre. 14 Afkom efter en fænotypisk normal orne og fire fænotypisk normale søer, som alle fem var kendte bærere af anlæg for krogede baglemmer, viste følgende udspaltningsforhold: Foto, Lars Wichmann Madsen viser nyere billede med tilsvarende symptomer. Normale Afficerede ------------------------------- So nr. 1 6 3 So nr. 2 10 2 So nr. 3 12 3 So nr. 4 5 0 ------------------------------- Undersøg med statistisk test om disse udspaltningsforhold er i overens- stemmelse med en hypotese om recessiv nedarvning. 15 Undersøg om udspaltningen af recessive i nedenstående familiemateriale hos kvæg er i overensstemmelse med en 7:1 spaltning, idet både faderen og morfaderen antages at være anlægsbærere. Familierne er fundet på grundlag af mindst et afficeret afkom. Familie-størrelse Antal afficerede --------------------------------------- 2 1 2 1 2 1 2 1 2 1 3 1 5 1 6 1 6 1 8 2 15 2 ---------------------------------------- 16 Hos grise er der påvist en form for lamhed af forbenene, som forekommer sporadisk i kuld efter normale forældre. I en større besætning blev anomalien påvist hos grise i seks kuld, og fordelingen var følgende: Kuld nr. Normale Afficerede* ----------------------------------- 1 5 3 2 4 3 3 4 1 4 7 3 5 7 3 6 9 2 ----------------------------------- * Ligeligt fordelt mellem orne- og sogrise. Angiv den genetiske hypotese, der svarer bedst til de indsamlede data. Der ønskes en statistisk afprøvning af denne hypotese.

Opgaver, Lektion 6, link løsninger

  
1	I en hønsebestand er der tre genotyper svarende til generne Rd og rd på 
	riboflavin-locus. Det gennemsnitlige indhold af riboflavin i mikrogram 
	pr. gram æggeblomme er 4,30 for Rd/Rd høner og 0,40 for rd/rd høner, 
	mens det er 2,50 for heterozygotiske høner. 
	Frekvensen af Rd og rd er henholdsvis 0,7 og 0,3. Hvor stort er det 
	gennemsnitlige riboflavinindhold pr. gram blomme under forudsætning af,
	at alle høner i bestanden lægger lige mange æg, og at blommevægten er 
	ens for alle æg?

2	Hos SDM malkekvæg er der fundet et QTL med effekt på hyppigheden 
	af tvillingefødsler. Den QTL allel, der har en positiv indflydelse på 
	tvillingefødsler har en allel frekvens på 0,2. Der blev fundet følgende
 	effekter:

		Genotype        		aa       Aa       AA
		Frekvens af tvillinger  0,008    0,016    0,020

	a)	Beregn populationensfrkvensen af tvillinger.
		 
	b)	Beregn de tre genotypiske værdiers afvigelser fra populations-
		gennemsnittet. 

	c)	Opdel genotypeværdiernes afvigelse fra populationsgennemsnittet 
		i en additiv del (avlsværdi) og en dominansafvigelse.

3	I en svinebesætning er svinenes vægt ved fem måneder i gennemsnit 88,5 
	kg. De i avlen anvendte gylte vejer i gennemsnit 93,0 kg, og de anvendte 
	orner vejer 102,0 kg ved fem måneder. Afkommet vejer i gennemsnit ved 
	fem måneder 89,5 kg. Beregn heritabiliteten for vægt ved fem måneder.

4	En tyr anvendtes til to grupper køer, hvis gennemsnitlige ydelse af 
	smørfedt (smf.) var:

			Gruppe I:	295 kg smf.
			Gruppe II:	227 kg smf.

	Afkommet efter de to grupper ydede henholdsvis 266 og 259 kg smf. 
	Beregn h2 for smf.
 
5	Tegn et pilediagram over relationen henholdsvis mellem halvsøskende og 
	mellem helsøskende. Anfør den forventede fænotypiske korrelation 
	henholdsvis mellem halvsøskende og mellem helsøskende. 
	Korrelationen udtrykkes ved det additive slægtskab (a) og ved h2 og c2.

6	På grundlag af et større observationssæt er der beregnet korrelation 
	mellem beslægtede individer for  vægt ved 6 uger hos grise. 
	Resultaterne var følgende:
			Mellem halvsøskende 0,05
			Mellem helsøskende 0,25
	Beregn heritabiliteten i de to tilfælde, idet der refereres til formel 
	for forventet korrelation mellem beslægtede individer. Er der en fælles 
	miljø komponent for helsøskende, og i givet fald hvorfor?

7	På grundlag af et observationssæt er der beregnet korrelation og 
	regression mellem beslægtede individer for  højde hos veterinær-
	studerende og deres forældre i 1998. 	Resultaterne var følgende:
	Korrelationen   mor-afkom  0,45
			    far-afkom  0,20
	Regression afkom-gns. forældre 0,65

	Beregn h2 i de tre tilfælde og diskuter årsager til 
	forskellene mellem resultaterne:

Opgaver, Lektion 7, link løsninger

1	Når man skal vælge mellem alternative metoder til at vurdere et dyrs 
	avlsværdi, er det væsentligt at kende avlsværdiestimatets sikkerhed. 
	Antag at en egenskab med heritabiliteten h2 = 0,25 kan vurderes 
	på grundlag af:
1) moderens præstation 2) 50 halvsøskendes præstation 3) 20 stk. afkom, der indbyrdes er halvsøskende (Jvf. figur, hvor dyret, hvis avlsværdi skal bestemmes, er markeret med sort). Hvilken af de tre metoder giver den største sikkerhed? 2 Beregn avlsværdiestimat for mælkeydelse for følgende dyr (h2 = 0,25, c2 = 0,05 og populationsgennemsnit = 4500 kg), idet avlsværdiestimatet baseres på kendskab til egen ydelse eller ydelse af beslægtede individer. 1) egen ydelse 1. laktation 5000 kg mælk 2) gns. af egen ydelse i tre laktationer 4700 kg mælk 3) gns. af moderens ydelse i tre laktationer 5000 kg mælk 4) gns. af 100 paternelle halvsøskende 4600 kg mælk 5) afkom efter 3) og 4) Hvilket af avlsværdiestimaterne er beregnet med størst sikkerhed? 3 Hos svenske sportsheste forekommer syndromet osteochondrose (OCD) med en hyppighed på 30% (dvs. 30% OCD, 70% OCD-fri). Populationen kan betragtes som et resultat af tilfældig parring. Den genetiske disposition er polygenisk og har en heritabilitet på 0,20. Den relative værdi af individer med OCD sættes til 0, medens værdien af OCD-fri individer er 1. A har 40 stk. afkom, af hvilke 20 er OCD-fri og 20 har OCD. B har 60 stk. afkom, af hvilke 45 er OCD-fri og 15 har OCD. C har 20 stk. afkom, af hvilke 16 er OCD-fri og 4 har OCD. a) Beregn populationsgennemsnittet og beregn gennemsnittet for de 3 afkomsgrupper. b) Beregn de tre hingstes (A, B og C's) avlsværdiestimat, idet alle individer inden for hver afkomsgruppe er paternelle halvsøskende. 4 Beregn sikkerheden kvadreret på avlsværdiestimaterne for 5 individer som har følgende observationssæt: 1) egen ydelse 2) gns. af 5 egen præstationer 3) gns. af 200 paternelle halvsøskende 4) gns. af 10 stk. afkom, der indbyrdes er halvsøskende 5) gns. af 200 stk. afkom, der indbyrdes er halvsøskende idet h2 = 0,05, 0,1, 0,2, 0,4 og 0,6 og c2 = 0,10. Kommenter resultaterne. 5 Udled formel for avlsværdi indeks og sikkerheden kvadreret for 4 individer med information fra: 1) egen præstation 2) de to forældres præstationer 3) de fire bedsteforældres præstationer 4) de otte oldeforældres præstationer Kommenter resultaterne.

Opgaver, Lektion 8, link løsninger

1	Heritabiliteten for tilvækst (20-90 kg) hos svin sættes til 0,30. I en 
	besætning er den gennemsnitlige tilvækst 935 g. De i avlen benyttede 
	gylte havde en gennemsnitlig tilvækst på 970 g, og de anvendte orner en 
	tilvækst på 1008 g. Hvor stor gennemsnitlig tilvækst forventes for 
	afkommet efter de selekterede individer?

2	I en minkbestand bruges 5% hanner og 33% hunner til avl. Der selekteres 
	for kropsstørrelse, som har sigmaP på 0,3 og 0,2 kg. for henholdsvis 
	hanner og hunner. Heritabiliteten for kropsstørrelse er 0,40. Hvor stor 
	genetisk ændring forventer man pr. generation?

3	Det antages, at en population af høner har en årlig gennemsnitsydelse på 
	230 æg. Den fænotypiske standardafvigelse er 35,7 æg. Der regnes 
	endvidere med en heritabilitet på 0,40 for årlig ægydelse. Selektionen 
	baseres udelukkende på høner, og 20 procent af de højestydende høner 
	benyttes til avl. Beregn følgende:

	a)	Selektionsdifferencen (antal æg).

	b)	Den genetiske ændring (antal æg) fra moder- til 
		dattergenerationen.

	c)	Døtrenes gennemsnitlige ægydelse pr. år.

4	Hoftedysplasi hos hunde er en tærskelegenskab med en heritabilitet på 
	0,3. Ca. 30% af alle Schæferhunde har hoftedysplasi. De 70%, der er 
	phenotypisk raske, sættes til samme avlsværdi, hvis man udelukkende 
	baserer avlsværdien på grundlag af en simpel fortolkning (enten eller) 
	af røntgenbillederne af de enkelte hunde. 

	a)	Antag, at der blandt de 70% raske Schæferhunde udtages en til-
		fældig stikprøve som avlsdyr. Hvor stor er selektionsintensi-
		teten?

	b)	Angiv den forventede genetiske ændring i fænotypiske standard-
		enheder  pr. generation, hvis man anvender de 70% raske Schæfer-
		hunde som avlsdyr.

	c)	Beregn  delta G i  sigmaP-enheder, hvis tæverne udvælges 
		ved individprøve, mens hannerne udvælges på grundlag af afkoms-
		undersøgelse  (20 stk. halvsøskende-afkom), idet der anvendes 
		10% til avl.

	d)	Beregn forholdet mellem delta G beregnet under punkt c) og b).

5	Der planlægges en afkomsprøvestation for mink for at forbedre en 
	pelsegenskab, der har en heritabilitet på 0,2. Stationen skal have en 
	kapacitet på 800 stk. afkom pr. generation, det vil sige højst 800 fædre
	kan blive afprøvet. Selektionen ønskes foretaget sådan, at 40 af de 
	undersøgte fædre udvælges til avl. Der indsættes udelukkende paternelle 
	halvsøskendegrupper på stationen, og af det foregående fremgår, at 
	antallet af afkom pr. fader kan variere mellem 1 og 20. Hvor mange stk. 
	afkom pr. fader skal man afprøve for at den genetiske ændring pr. 
	generation er størst mulig? 

6	To allele gener har begge en frekvens på 0,5. Genparret giver anledning
	til variation i en kvantitativ egenskab, således at der er en forskel på 
	4 kg i den kvantitative egenskab mellem de to typer af homozygoter. Der 
	er fuldstændig dominans på det pågældende locus. 
	Den kvantitative egenskab har sigmaA = 10 kg og sigmaP = 20 kg.

	a)	Hvor stor en del af den kvantitative egenskabs additive varians 
		skyldes pågældende locus?
	b)	Giv kommentarer til hvornår det er formålstjenligt anvende 
		genmarkører.

7	I et selektionseksperiment med mus, som løb over ni generationer, blev 
	der ved individuel selektion selekteret for tilvækst (x), og der blev i 
	de ni generationer målt en genetisk ændring på 2,34 g. Som korreleret 
	effekt blev der målt en ændring i kuldstørrelse (y) på 0,693 unge pr. 
	kuld over de samme ni generationer.

			Egenskab	heritabilitet 	variansP
			x		0,23		5,59
			y		0,15		5,18
	 
	a)	Beregn den genetiske korrelation mellem tilvækst og kuldstør-
		relse.

	b)	Beregn selektionsintensiteten ix.

Opgaver, Lektion 9, link løsninger

1	I en marsvinebestand, hvor der opretholdes en indavlskoefficient på 
	F = 0,25, er der tre vægtklasser: 100 g, 80 g og 50 g, svarende til 
	genotyperne A1A1, A1A2 og A2A2. 
	Frekvensen af A1 og A2 er henholdsvis 0,8 og 0,2.

	a)	Hvor stor er den gennemsnitlige vægt?

	b)	Beregn indavlsdepressionen.

2	I et krydsningsforsøg med svin er der fundet følgende gennemsnitlige 
	vægttal i kg ved 80 dages alder:

					Linie		Krydsning
					A	B	F1 (A x B)
			Ikke indavlede	22,7  	20,1    22,8  
			Indavlede	21,7    13,1    19,6

	a)	Beregn graden af heterosis ved krydsninger mellem 1) ikke-
		indavlede linier og 2) indavlede linier. Resultaterne angives 
		såvel i absolutte som relative tal.

	b)	Beregn indavlsdepressionen udtrykt i procent.

Opgaveforside